integration of tanx
Integration of tanx. When we are talking about the integral formula of the tan x. It means that the finding is a derivative that is given you tan x. And the symbol of the integration ∫. And we have to find the value of ∫ tanx dx, which is the integral value of the tan X concerning the x.
The formula of the tan x is :
∫ tan x dx = -ln|cos x| + C
Here:
∫ tan x dx is the integral we’re finding.
ln represents the natural logarithm.
cos x is the cosine function.
C is an arbitrary constant that we add because when we differentiate the result, we should get back to tan x.
So in simple terms, we can say that, If you are integrating the tan x, then you will get-ln|cos x| + C. Also when you differentiate it then you will get the value -ln|cos x| + C.
How to do Integration of tanx
By Leuse off the above formula. We can start the integration of the tan x dx. Let’s see it in step by step process.
∫ tan x dx
We know that tan A = sin A/cos A
Thus, ∫ tan x dx = ∫ (sin x /cos x) dx
= ∫ (1/cos x) sin x dx
Let’s apply the substitution method of integration.
Let t = cos x
⇒ dt = – sin x dx
⇒ sin x dx = -dt
So, ∫ tan x dx = ∫(sin x /cos x) dx = ∫ (1/t) (-dt) = – ∫ (1/t) dt
- – log |t| + C
- -log |cos x| + C
- log |(cos x)-1| + C
- log |1/cos x| + C
- =log |sec x| + C
Therefore, ∫ tan x dx = -log |cos x| + C = log |sec x| + C
We can the another example of the integration of under-root tanx( Integration of tanx)
The integral of under root tan x can be written as:
∫ √(tan x)
Let’s find the integral of under root tan x concerning x.
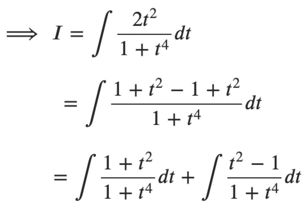
∫ √(tan x) dx
Let tan x = t2 such that tan2x = t4 and sec2x = 1 + t4.
Differentiate concerning x.
⇒ sec2x dx = 2t dt
⇒ dx = [2t / (1 + t4)]dt

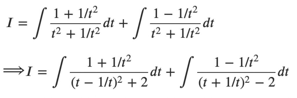
Dividing the numerator and denominator of RHS by t2, we get;

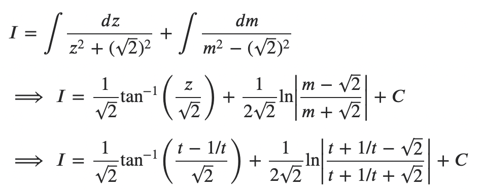
Let us substitute t + 1/t = m and t – 1/t = z.
Also, by differentiating these equations concerning t, we get;
1 – 1/t2 = dm/dt and 1 + 1/t2 = dz/dt
⇒ (1 – 1/t2) dt = dm and (1 + 1/t2) dt = dz

Now, substitute t = √(tan x) and 1/t = 1/√(tan x) = √(cot x).

Conclusion
In conclusion, we have explored the Integration of tanx. Hence it involves the finding of the alternatives of the tangent concerning the x. And the formula of it is ∫ tan x dx is -ln|cos x| + C. Hence it represents the natural logarithm. cost is the function. Where the c is the constant. However to demonstrate the integration process. We have started with the trigonometric identity tan A = sin A/cos A. And we solve it by using the logarithmic function. Then we obtain the value which is equal to -log |cos x| + C, And also which is equal to log |sec x| + C.
In summary, the integration of tan x involves applying trigonometric identities, substitution, and algebraic manipulations to find antiderivatives. The obtained results are useful in various mathematical and scientific applications.
Faq
Q. What does the integration of tan x mean?
Integrating tan x involves finding a new function whose derivative is equal to tan x. It’s a process of reversing differentiation.
Q. What is the formula for ∫ tan x dx?
The formula for the integral of tan x is ∫ tan x dx = -ln|cos x| + C, where ln is the natural logarithm, cos x is the cosine function, and C is an arbitrary constant.
Q. Why do we add an arbitrary constant C in the formula?
The constant C is added because when we differentiate the result, we should retrieve tan x. The constant represents the family of functions that could have been differentiated to obtain tan x.
Q. How do you integrate tan x step by step?
We start by recognizing that tan x = sin x / cos x. Using substitution (letting t = cos x), we transform the integral into ∫ (1/cos x) sin x dx. Applying substitution again, we get -log |cos x| + C, which simplifies to log |sec x| + C.
Q. Can you provide an example of integrating √(tan x)?
By letting tan x = t^2, we apply differentiation and substitution to arrive at the integral ∫ √(tan x) dx = [2t / (1 + t^4)] dt. Further manipulations lead to a substitution with m and z, ultimately resulting in the integral expressed in terms of m and z.
